온라인 판독 온라인 판독서비스 인쇄

온라인 판독서비스

  • 온라인 판독 서비스를 이용해 보고 싶으신 분들은 누구나 테스트해 볼 수 있습니다.
    회원가입 시, 1,000캐시를 지급합니다. 직접 테스트해보시고 이용·구입 결정하세요!
  • 온라인 판독 서비스가 궁금하신 분들
  • 온라인 판독서비스 이용 전 고민 중이신 분들
  • OMR리더기 또는 OMR스캔판독솔루션을 구입하고자 고민 중이신 분들 등 누구나!

 >   > 
중 · 고교  |  초등학교  |  기업/관공서  |  대학교  |  학원  |  교회  |  의료기관  |  재개발/재건축
Home > 온라인판독 >대학교 > 일반 설문
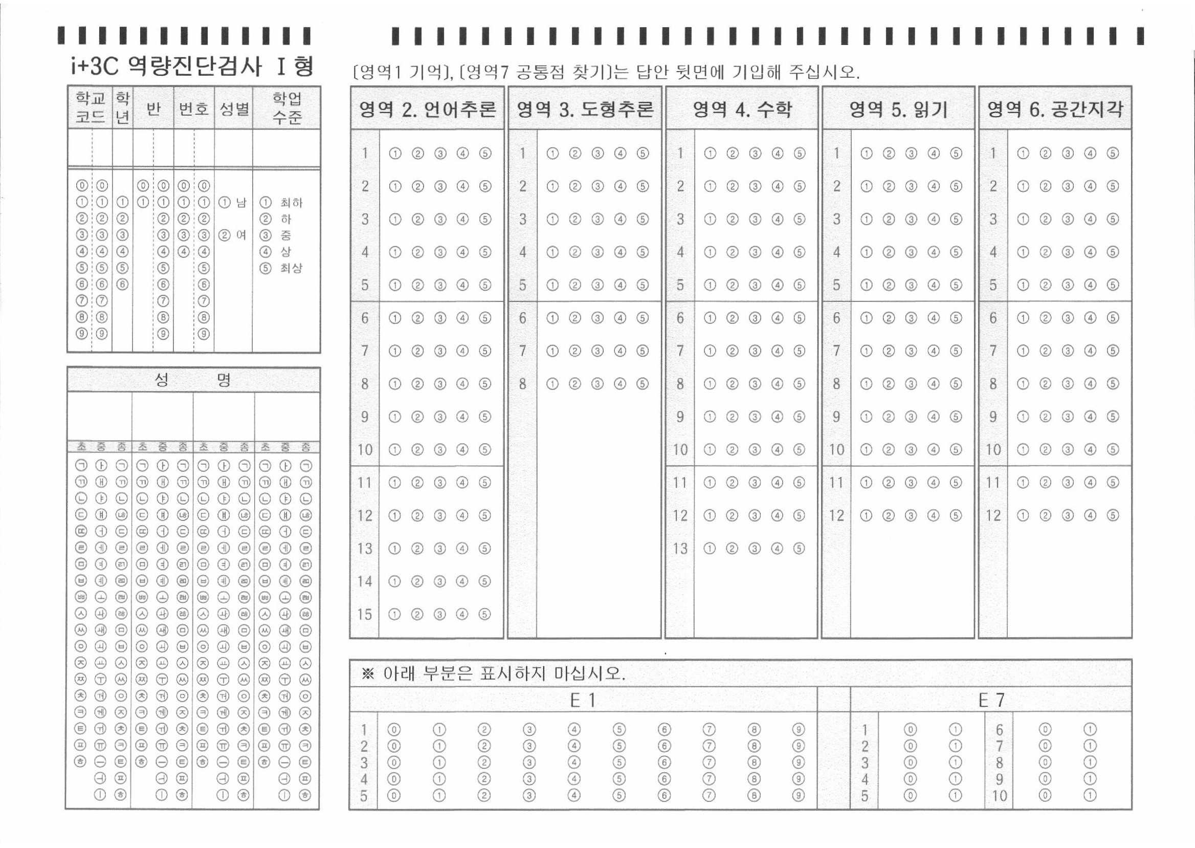
역량진단검사_1형(2)  : A4/ 단면/ 60문항/ 5지선다
온라인 판독 단가 원 / (1장)
가용매수 충전하기

※ 회원가입시 지급되는 1,000원으로 테스트 해보세요.
해당 프로그램의 구매는 하단의 "바로 구매" 버튼을 클릭하세요.
제품코드 1438652600
주문수량
비회원가 0원
회원가 0원
캐시 C 0
총 구매금액 :


다운로드
    역량진단검사_1형_f_OMR답안지_201801.pdf (1.9Mbyte)  [11]  DATE : 0000-00-00 00:00:00
    역량진단검사_1형_테스트용지.zip (3.7Mbyte)  [6]  DATE : 0000-00-00 00:00:00
  •   0개의 이용후기가 있습니다.
    날 짜 이용후기 글쓴이 평 점


  •   0개의 제품 Q&A가 있습니다.
    No. 제목 글쓴이 날짜 답변여부


열기 위로가기 위로